6 Finch West: Schedules, Travel Times & Speeds
6 Finch West: Schedules, Travel Times & Speeds
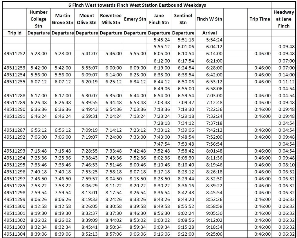
The TTC released GTFS schedules for 6 Finch West, highlighting a consistent 46-minute trip time, slow speeds averaging 13.53 km/hr, and potential delays at Jane-Finch.
